隨著經濟發展、環保低碳理念的提升,我國逐漸加大對新能源汽車的推廣。工信部數據顯示,僅2015年我國新能源汽車累計生產37. 9萬輛,其中純電動車29.07萬輛、插電式混合動力車8. 82萬輛?。2020年中國新能源汽車的年銷量將達到汽車市場總需求的5 %?以上,2025年增至20 %?左右。
隨著新能源汽車的推廣,對電動汽車充電樁的需求也進一步激增。研究發現,目前造成電動汽車推廣困難的主要原因是充電樁數量較少、充電速度慢、充電對象單一。
為協助新能源汽車推廣,我國正在逐步加大汽車充電樁配置。2015年10月國務院指導意見中指出,大型公共建筑物配建停車場建設充電設施或預留建設安裝條件的車位比例不低于10 %。
然而我國現有配電設計規范中,對車庫容量的設計指標尚未提及關于安裝汽車充電樁對車庫配電指標的影響。對于新建建筑而言,車庫充電樁的配置及帶有充電樁的車庫配電容量設計依舊比較模糊。
本文通過調研現有車庫用電特征、汽車充電設施使用情況、充電樁配置類型及用電特征,結合分析我國現行充電樁的設計方法,以為新建建筑設計車庫充電樁的配電容量提供指導思路。
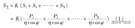
目前,我國新建商業建筑地下車庫配建充電樁時變壓器容量設計,充電負荷計算主要參照南方電網充電樁設計規范中的計算方法:

式中:
P1、P2?……?PN?——?各臺充電樁的輸出功率,kW;
S∑?——?充電機的輸入總容量,kW;
cos?φ?——?充電機的功率因數,取0. 9;
η?——?充電機的效率,取0. 9;
K?——?充電機同時工作系數,取0. 8。
車庫變壓器容量設計時,方案設計階段通常采用單位指標法計算。規范中給出各類建筑物的單位建筑面積用電指標,非機械汽車庫用電指標為8?~?15 W / m2,變壓器容量指標為12?~?34 VA / m2。
現行設計規范中對于車庫是否安裝充電樁、充電樁比例如何并未進行詳細說明,設計中在未考慮是否設置充電樁時,車庫配電也常按照**值34VA / m2計算。在施工圖設計階段,常規車庫變壓器容量設計采用需要系數法,充電樁配電容量根據公式(1)計算。
公式(1)中各臺充電機的輸出功率因設計人員缺少實際測試數據,采用充電樁額定輸出功率計算,表2中數據顯示,實際充電功率為充電樁額定輸出功率的58 %?~?99. 5 %,表中僅不到一半車型充電效率在80 %?以上,保守估計根據公式(1)計算結果偏大10 %?左右。
公式(1)中同時工作系數為0. 8,對于安裝充電樁較少(如20臺以下)的變壓器容量影響較小,充電樁越多變壓器容量越大,安裝充電樁大于100臺時,用于充電樁供電的變壓器富余量預計將達10 %?~?30 %。
影響同時工作系數的主要因素:
a.?由于汽車電池充電特性,電池充電0?~?80 %?時為恒流充電、80 %?~?100 %?時為保護電池改為恒壓充電。同一時間,不同車輛的充電開始階段不同、充電百分比不同,充電樁的同時工作系數也不同。
b.?對于商業建筑而言,日常充電樁服務對象主要為通勤人群和購物人群,有研究顯示,用于上下班和社交?/?休閑目的的平均往返里程約30 km,對于交流慢充而言充電時間約為1. 5 h,直流快充約為0. 5 h。
對于通勤人群而言,占用充電樁時間等于工作時長;對于購物人群而言,占用充電樁時間等于購物時長。設定好充電時間后,充電完成時車主未達到工作時長?/?購物時長,將不會離開車位。此時充電樁的同時工作系數有所下降。
電動汽車充電樁對車庫變壓器容量設計影響
1?充電樁數量影響
調研各大商業地產集團設計指引中發現,單車位均攤面積均在25?~?45 m2?/?輛范圍內。下文針對平均單位停車面積:25?~?45 m2?/?輛、充電樁安裝比例:10 %?~?30 %?時,同一充電樁類型、不同充電樁數量對車庫變壓器容量設計指標的影響進行分析。
相同充電樁安裝比例下,隨著單車位均攤面積增加,充電樁變壓器裝置指標降低。單車位均攤面積為45 m2?/?個時,充電樁變壓器裝置指標為單車位均攤面積為25 m2?/?個時的55. 6 %;相同單車位均攤面積下,充電樁安裝比例每增加1 %,充電樁變壓器裝置指標上升10 %。充電樁安裝比例為30 %?時,充電樁變壓器裝置指標為充電樁安裝比例10 %?時的3倍。
2?充電樁類型影響
由于電動汽車多采用鋰電池,充電電流較大的快速充電易對鋰電池壽命造成影響甚至發生爆炸,因此國內電動車在充電時廠家與充電樁通信協議多限制充電電流。
就目前充電技術而言,即使充電樁配置電壓、電流增大,實際充電時也無法達到充電樁額定功率。
分析充電樁安裝比例10 %、充電樁安裝數量100個、單車位均攤面積為40 m2?/?個時,根據公式(2)~(4)不同充電樁類型組合對充電樁變壓器裝置指標的影響,
研究結果顯示,在圖5的5 151個充電樁組合中,約有35 %?的充電樁組合形式其充電樁變壓器裝置指標為10?~?20 VA / m2,24 %?的充電樁組合形式使充電樁變壓器裝置指標為20?~?30 VA / m2,約有74 %的不同充電樁類型組合形式使得充電樁變壓器裝置指標落在30 VA / m2以內,可滿足大型直流快充充電樁安裝比例不超過充電樁總安裝數量48 %?的配置要求。
當大型快速充電樁安裝比例超過73 %?時,充電樁變壓器裝置指標超過40 VA / m2,此時對于充電樁的投資較大。
不設置充電樁時,停車場電耗容量設計優化指標推薦值為1. 8?~?10. 5 W / m2,約2. 3?~?13. 4 VA / m2;設置充電樁時,應在上述停車場電耗容量設計優化指標推薦值基礎上增加0?~?60 VA / m2,具體增加充電樁配電容量指標應根據充電樁型號配比進行計算。 不同充電樁組合配置應綜合考量商業建筑使用性能和投資經濟性能。對于商業綜合體而言,商場停車位較多時,應適當增加大型快速充電樁的配置滿足人們快充需求;辦公停車位較多時,應適當增加中型中速和小型低速充電樁配置。 雖然配置在住家停車位、工作地停車位、公共停車場和酒店停車場的充電樁多采用中低速充電,充電總需求占比約80 %,快速充電占比約20 %。 但是鑒于我國目前已建住宅的充電限制,有很多小區不能滿足電動汽車充電需求,因此商業建筑應綜合考量經濟性和使用性,適當配置大型快速充電樁安裝比例。
變壓器是利用電磁感應的原理來改變交流電壓的裝置,變壓器主要功能有:電壓變換、電流變換、阻抗變換、隔離、穩壓(磁飽和變壓器)等等。要想讓電路達到穩定就要選擇合適的變壓器。下面為你介紹變壓器選用中的幾點問題。變壓器按用途可以分為:配電變壓器、電力變壓器、全密封變壓器、組合式變壓器、干式變壓器、油浸式變壓器、單相變壓器、電爐變壓器、整流變壓器等。要想讓電路達到穩定就要選擇合適的變壓器。下面為你介紹變壓器選用中的幾點問題:一、變壓器的制作中,線圈的機器繞制和手工繞制各有什么優缺點?機器繞制變壓器的優點是效率高且外觀成形漂亮,但繞制高個子小洞眼的環型變壓器卻比較麻煩,而且在絕緣處理工藝的可靠性方面反不如手工繞制到位。手工繞制可以將變壓器的漏磁做得非常小,其在繞制過程中能針對線圈匝數的布局隨時予以調整,所以真正的Hi–END變壓器一定是純手工繞制,純手工繞制的**缺點是效率低、速度慢。二、環型、EI型、R型、C型幾種電源變壓器哪一種**?它們各有其優缺點而不存在誰**之說,所以嚴格來講哪一種變壓器都可以做得**。從結構上來講,環型能夠做到漏磁*小,但聲音聽感方面EI型則可以把中頻密度感做得更好一些。單就磁飽和而言,EI型要比環型強,但在效率上則環型又優于EI型。盡管如此,其問題的關鍵還是在于你能不能揚長避短而將它們各自的優點充分發揮出來,而這才是做好變壓器的*根本。目前的進口放大器中,環型變壓器的應用仍然是主流,這基本說明了一個問題。發燒友對變壓器的評價要客觀公正,你不能拿一個沒做好的東西作參考而說它不好。有人說環型變壓器容易磁飽和,那你為什么不去想辦法把它做到不容易磁飽和?而原本通過技術手段是可以做到這一點的。不下足功夫或者一味地為了省成本,那它當然就容易磁飽和了。同理,只要你認真制作,EI型變壓器的效率也是能做到很高的。變壓器的品質好壞對聲音的影響很大,因為變壓器的傳輸能量與鐵芯、線圈密切關聯,其傳遞速率對聲音的影響起決定性作用。像EI型變壓器,人們通常覺得它的中頻比較厚,高頻則比較纖細,為什么呢?因為它的傳輸速度相對比較慢。而環型呢?低頻比較猛,中高頻則又稍弱一點,為什么?因為它傳輸速度比較快,但是如果通過有效的結構改變,你就可以把環型和EI型都做得非常**,所以關鍵還是要看你怎么做。不過至少可以肯定一點的是,R型變壓器不是太容易做好。用它來做小電流的前級功放和CD唱機電源還可以,如果用來做后級功放的電源,則有比較嚴重的缺陷。因為R型變壓器本身的結構形式不太容易改變,而環型和EI型則相對容易通過改變結構來達到靚聲目的。采用R型變壓器制作的功率放大器電源,通常聲音很板結而匱乏靈氣,低頻往往沒有彈跳力而顯得較硬。
變壓器繞組變形主要有匝間短路、繞組接地、相間短路、斷線及接頭開焊等。產生這些故障的原因有以下幾點:在制造或檢修時,局部絕緣受到損害,**下缺陷;在運行中因散熱不良或長期過載,繞組內有雜物落入,使溫度過高絕緣老化;制造工藝不良,壓制不緊,機械強度不能經受短路沖擊,使繞組變形絕緣損壞;繞組受潮,絕緣膨脹堵塞油道,引起局部過熱,絕緣油內混入水分而劣化,或與空氣接觸面積過大,使油的酸價過高絕緣水平下降或油面太低,部分繞組露在空氣中未能及時處理。由于上述種種原因,在運行中一經發生絕緣擊穿,就會造成繞組的短路或接地故障。匝間短路時的故障現象使變壓器過熱油溫增高,電源側電流略有增大,各相直流電阻不平衡,有時油中有吱吱聲和咕嘟咕嘟的冒泡聲。輕微的匝間短路可以引起瓦斯保護動作;嚴重時差動保護或電源側的過流保護也會動作。發現匝間短路應及時處理,因為繞組匝間短路常常會引起更為嚴重的單相接地或相間短路等故障。繞組或線餅倒塌。這種損壞是由于導線在軸向力作用下,相互擠壓或撞擊,導致傾斜變形。如果導線原始稍有傾斜,則軸向力促使傾斜增加,嚴重時就倒塌;導線高寬比例大,就愈容易引起倒塌。端部漏磁場除軸向分量外,還存在輻向分量,二個方向的漏磁所產生的合成電磁力致使內繞組導線向內翻轉,外繞組向外翻轉
一:祖爾(上海)電器制造有限公司-光伏漢能專用隔離變壓器產品概述:(1)該系列隔離變壓器具有抗干擾、防火、防潮、安全可靠、節約電能及維護方便等優點。(2)太陽能以其無污染、無噪音、分布廣泛等優勢越來越受到人們的關注。目前大多數的光伏并網發電系統都含有隔離變壓器,無隔離變壓器光伏發電系統存在著漏電電流問題。 二:產品特點: (1)我公司采用優質材料和先進的工藝技術,專業生產的SG、DG系列三相及單相干式隔離變壓器,該系列變壓器在電網中不僅具有變壓功能,還可隔離電網對設備的三次諧波,保護機器產生的發熱和絕緣材料的壽命減少。特別適合進口設備使用(270V進→380V出、315V進-輸出380V)規格1KVA-1000KVA之間,用于光伏逆變電源旁路。(2)由于光伏發電的特殊性,光伏并網系統大規模的投入勢必會給電網的可靠性和穩定性帶來隱患,如:諧波、閃變、直流偏磁、過電壓等。因此,有必要研究合適的方案來解決上述問題。**的方法是在電網和并網逆變器之間加入隔離變壓器,起隔離逆變器和電網的作用。由于有了隔離變壓器,逆變器功率器件開關導致的電位浮動所產生的漏電流,以及逆變器在控制中產生的微小直流電流均被有效地隔離抑制。從而不會對電網產生不良的影響。三:隔離變壓器的作用: 隔離變壓器在單級式光伏并網逆變系統中非常重要,其性能好壞不僅關系到變壓器本身的效率、發熱等問題,而且決定著整個變換器的技術性能,甚至導致功率管的損壞和逆變失敗。此時,隔離變壓器變換電壓已不再是隔離變壓器的**功能,它還有許多其他重要的作用。(1)電氣隔離:使用變壓器來實現光伏電源與電網之間的電氣隔離。(2)阻止電流的直流分量注入電網:由于直流電不會導致磁通量的變化,因此光伏逆變系統的直流分量將不會通過隔離變壓器流入電網。(3)抗干擾的作用:一定聯接方式的隔離變壓器可以消除3次及3的整數倍次諧波,降低高次諧波、電壓波動對電網的影響。(4)穩定電壓的作用:當系統發生故障時,可以有效地抑制光伏逆變系統的諧振過電壓和穩態過電壓。隔離變壓器接線選擇:(△/Yn與 Yn/△) (1)從諧波的角度選擇:△/Yn與 Yn/△兩種解法都能夠有效地減小進網電流的諧波含量。 (2)從抑制直流分量的角度比較:△/Yn與 Yn/△2種接法都能起到對直流分量的抑制作用,使其輸出電流直流分量含量較低,但△/Yn接法略微優于 Yn/△接法。 (3)△/Yn接法方式輸出電壓波形質量要好于采用 Yn/△的接法。從諧波總畸變率也可以說明△/Yn聯接方式優于 Yn/△的聯接方式。 (4)綜合以上比較△/Yn聯接方式優于 Yn/△的聯接方式,所以在光伏發電并網系統中,隔離變壓器的聯接方式選擇△/Yn是*佳選擇。使用范圍:該系列隔離變壓器廣泛用于光伏發電、風能、UPS不間斷電源、EPS消防應急電源、變頻電源、逆變電源。技術參數:電壓變動率:±1%輸出波形失真:無失真(與輸入波形比較)絕緣等級:F級、H級(常規為H級)耐溫180°工作效率:≥98%適用頻率:50/60Hz聯接方式:△ /Yn過載能力:允許超過1.5倍額定負載工作1小時(可長期滿載)噪 聲:≤35dB(一公尺內)溫 升:≤60℃絕緣電阻:≥150MΩ抗電強度:3000VAC/1min設計壽命:20年工作環境:溫度:-20~+50℃濕度:≤95%RH不結露工作場所:無腐蝕性氣體及導電粉塵安規標準:產品符合VDE0550, IEC439、JB5555、GB226等國際國家標準冷卻方式:干式風冷正常使用條件1、局部放電量小,絕緣水平高,產品使用壽命長2、電壓波形穩定、過載保護并機環流?。?、過載能力強,120%負載下可持續4小時運行;4、采用美國杜邦絕緣材料、耐壓等級高,阻燃、防爆、無污染、防火等級高,整機可達F級或H級。■備注輸入輸出電壓可根據客戶需求定制。 祖爾(上海)電器制造有限公司 訂貨熱線:021-59580293 技術支持:18221692920 公司官網:www.migate.cn
隨著經濟發展、環保低碳理念的提升,我國逐漸加大對新能源汽車的推廣。工信部數據顯示,僅2015年我國新能源汽車累計生產37. 9萬輛,其中純電動車29.07萬輛、插電式混合動力車8. 82萬輛?。2020年中國新能源汽車的年銷量將達到汽車市場總需求的5 %?以上,2025年增至20 %?左右。隨著新能源汽車的推廣,對電動汽車充電樁的需求也進一步激增。研究發現,目前造成電動汽車推廣困難的主要原因是充電樁數量較少、充電速度慢、充電對象單一。為協助新能源汽車推廣,我國正在逐步加大汽車充電樁配置。2015年10月國務院指導意見中指出,大型公共建筑物配建停車場建設充電設施或預留建設安裝條件的車位比例不低于10 %。然而我國現有配電設計規范中,對車庫容量的設計指標尚未提及關于安裝汽車充電樁對車庫配電指標的影響。對于新建建筑而言,車庫充電樁的配置及帶有充電樁的車庫配電容量設計依舊比較模糊。本文通過調研現有車庫用電特征、汽車充電設施使用情況、充電樁配置類型及用電特征,結合分析我國現行充電樁的設計方法,以為新建建筑設計車庫充電樁的配電容量提供指導思路。目前,我國新建商業建筑地下車庫配建充電樁時變壓器容量設計,充電負荷計算主要參照南方電網充電樁設計規范中的計算方法:式中:P1、P2?……?PN?——?各臺充電樁的輸出功率,kW;S∑?——?充電機的輸入總容量,kW;cos?φ?——?充電機的功率因數,取0. 9;η?——?充電機的效率,取0. 9;K?——?充電機同時工作系數,取0. 8。車庫變壓器容量設計時,方案設計階段通常采用單位指標法計算。規范中給出各類建筑物的單位建筑面積用電指標,非機械汽車庫用電指標為8?~?15 W / m2,變壓器容量指標為12?~?34 VA / m2?,F行設計規范中對于車庫是否安裝充電樁、充電樁比例如何并未進行詳細說明,設計中在未考慮是否設置充電樁時,車庫配電也常按照**值34VA / m2計算。在施工圖設計階段,常規車庫變壓器容量設計采用需要系數法,充電樁配電容量根據公式(1)計算。公式(1)中各臺充電機的輸出功率因設計人員缺少實際測試數據,采用充電樁額定輸出功率計算,表2中數據顯示,實際充電功率為充電樁額定輸出功率的58 %?~?99. 5 %,表中僅不到一半車型充電效率在80 %?以上,保守估計根據公式(1)計算結果偏大10 %?左右。公式(1)中同時工作系數為0. 8,對于安裝充電樁較少(如20臺以下)的變壓器容量影響較小,充電樁越多變壓器容量越大,安裝充電樁大于100臺時,用于充電樁供電的變壓器富余量預計將達10 %?~?30 %。影響同時工作系數的主要因素:a.?由于汽車電池充電特性,電池充電0?~?80 %?時為恒流充電、80 %?~?100 %?時為保護電池改為恒壓充電。同一時間,不同車輛的充電開始階段不同、充電百分比不同,充電樁的同時工作系數也不同。b.?對于商業建筑而言,日常充電樁服務對象主要為通勤人群和購物人群,有研究顯示,用于上下班和社交?/?休閑目的的平均往返里程約30 km,對于交流慢充而言充電時間約為1. 5 h,直流快充約為0. 5 h。對于通勤人群而言,占用充電樁時間等于工作時長;對于購物人群而言,占用充電樁時間等于購物時長。設定好充電時間后,充電完成時車主未達到工作時長?/?購物時長,將不會離開車位。此時充電樁的同時工作系數有所下降。電動汽車充電樁對車庫變壓器容量設計影響1?充電樁數量影響調研各大商業地產集團設計指引中發現,單車位均攤面積均在25?~?45 m2?/?輛范圍內。下文針對平均單位停車面積:25?~?45 m2?/?輛、充電樁安裝比例:10 %?~?30 %?時,同一充電樁類型、不同充電樁數量對車庫變壓器容量設計指標的影響進行分析。相同充電樁安裝比例下,隨著單車位均攤面積增加,充電樁變壓器裝置指標降低。單車位均攤面積為45 m2?/?個時,充電樁變壓器裝置指標為單車位均攤面積為25 m2?/?個時的55. 6 %;相同單車位均攤面積下,充電樁安裝比例每增加1 %,充電樁變壓器裝置指標上升10 %。充電樁安裝比例為30 %?時,充電樁變壓器裝置指標為充電樁安裝比例10 %?時的3倍。2?充電樁類型影響由于電動汽車多采用鋰電池,充電電流較大的快速充電易對鋰電池壽命造成影響甚至發生爆炸,因此國內電動車在充電時廠家與充電樁通信協議多限制充電電流。就目前充電技術而言,即使充電樁配置電壓、電流增大,實際充電時也無法達到充電樁額定功率。分析充電樁安裝比例10 %、充電樁安裝數量100個、單車位均攤面積為40 m2?/?個時,根據公式(2)~(4)不同充電樁類型組合對充電樁變壓器裝置指標的影響,研究結果顯示,在圖5的5 151個充電樁組合中,約有35 %?的充電樁組合形式其充電樁變壓器裝置指標為10?~?20 VA / m2,24 %?的充電樁組合形式使充電樁變壓器裝置指標為20?~?30 VA / m2,約有74 %的不同充電樁類型組合形式使得充電樁變壓器裝置指標落在30 VA / m2以內,可滿足大型直流快充充電樁安裝比例不超過充電樁總安裝數量48 %?的配置要求。當大型快速充電樁安裝比例超過73 %?時,充電樁變壓器裝置指標超過40 VA / m2,此時對于充電樁的投資較大。不設置充電樁時,停車場電耗容量設計優化指標推薦值為1. 8?~?10. 5 W / m2,約2. 3?~?13. 4 VA / m2;設置充電樁時,應在上述停車場電耗容量設計優化指標推薦值基礎上增加0?~?60 VA / m2,具體增加充電樁配電容量指標應根據充電樁型號配比進行計算。不同充電樁組合配置應綜合考量商業建筑使用性能和投資經濟性能。對于商業綜合體而言,商場停車位較多時,應適當增加大型快速充電樁的配置滿足人們快充需求;辦公停車位較多時,應適當增加中型中速和小型低速充電樁配置。雖然配置在住家停車位、工作地停車位、公共停車場和酒店停車場的充電樁多采用中低速充電,充電總需求占比約80 %,快速充電占比約20 %。但是鑒于我國目前已建住宅的充電限制,有很多小區不能滿足電動汽車充電需求,因此商業建筑應綜合考量經濟性和使用性,適當配置大型快速充電樁安裝比例。
隨著科技和經濟的發展,信息技術和微電子技術的應用,特別是電子計算機技術應用到工業、科研領域后,各種電子設備都要求穩定的交流電源供電,但是我國目前還有很多地區交流電網的供電質量不高,表現為供電存在三相不平衡,欠電壓或過電壓、電壓波動大、浪涌間脈沖干擾,甚至突然停電或出現故障等問題,這一切都會對用電設備儀器造成損壞。因而電力穩壓器已成為許多電子設備(如計算機、通信設備、醫療設備、光電發射設備等)和機電設備(如數控機床、注塑機等)不可缺少的供電設備。本文就此設計介紹一種具有響應速度快、**、分相調節、調節范圍寬、抗干擾能力強、三相自動平衡等優點的無觸點自動補償式電力穩壓器。2電路原理框圖及工作原理bookmark1 2.1電路原理圖無觸點補償式電力穩壓器的原理框圖如所示。整個裝置由補償、調壓、檢測、采樣、保護等單元組成。2.2工作原理當輸入電壓波動或負載變化時,通過輸入輸出采樣電路獲取反饋電壓,經微機控制電路與基準電壓進行比較判斷,然后輸出控制信號,讓其響應的可控硅導通,使補償電路產生極性和大小不同的補償電壓,達到穩定輸出電壓的目的。在調壓過程中,通過過零檢測而產生的信號來控制晶闡管門極觸發信號,保證其過零通斷,從而避免在調壓過程中由于晶閘管通斷對電網造成的污染。由于感性器件和感性負載的存在,雙向晶閘管在換流過程中電感兩端會產生很大的反電動勢。這個反電動勢一方面會影響輸出電壓的波形,另一方面容易引起雙向晶閘管損壞。因此,系統在雙向晶閘管回路、補償變壓器初級以及輸出回路設置了浪涌電壓吸收電路,而且還可以吸收變壓器一次系統電磁轉移而侵入的浪涌電壓和變壓器通斷時產生的變壓器磁能。電路原理框圖bookmark2 3.1主控電路結構是一相主控電路結構圖。圖中TB1、TB2、TB3是三個獨立的補償變壓器,根據穩壓精度及輸入電源的范圍要求來選擇變壓器的臺數,本文選擇3臺,二次繞組的補償電壓可設置為7V、14V、28V(5V、10V、20V)等。當順極性(或反極性)疊加全部投入時可以獲得**正負補償電壓為49V(或者35V)。當Ut*小值為5V時,穩壓精度可優于2.5%.陳義發:碩士研究生囝2主電路結構圖bookmark4 -132-360元/年郵局訂閱號:82-946現場總線技術應用200例您的論文得到兩院院士關注電源技術初始化N三相出電歷分別UI整保護及報替技術創新SS8是雙向晶閘管,它與變壓器TBi~TB3組成多全橋電路。當輸出電壓U低于額定值時(相當于輸入電壓U,降低或負載增大),要求補償變壓器TBi~TB3中的一個、二個或三個同時工作,產生順極性的電壓,補足U,降低的那部分電壓,例如僅需TB3投入時,此時可觸發S5和S4導通,交流正半波時電流通路為:UTB3(上繞組)一S4―TB3(下繞組)一S5N,交流負半波時電流沿上述通路反向流動(由于使用了雙向可控硅)。當輸出電壓U高于額定值時(相當于輸入電壓U,升高或負載減小),需要TB3產生反極性的電壓,抵消U,升高的那部分電壓,此時可觸發Si和Ss導通,交流正半波時電流通路為:UTB3(上繞組)一S「TB3(下繞組)一SsN,交流負半波時電流沿上述通路反向流動。通過控制不同交流無觸點開關的通斷,可切換變壓器的抽頭,從而改變補償變壓器補償電壓的大小和極性,達到穩定輸出的目的。系統采用89C52單片機控制。電壓檢測電路連續檢測各相電壓的變化,轉換成直流信號,經A/D轉換模塊轉換成相應的采樣數據輸入89C52單片機,單片機根據預先編寫的程序和設置的參數(立即調電壓、延時調電壓、延時調時間、電壓過高過低告警、電壓過高過低保護等),與取樣參數比較后通過光耦控制驅動電路,觸發相應的雙向可控硅使其導通,對輸出電壓進行調節。囝3控制電路理圖克服雙向可控硅換向環流問題是穩壓電源可靠工作的關鍵。為了避免同一橋臂上的雙向可控硅直通,保證系統的可靠工作,雙向可控硅驅動電路應采用過零觸發技術,光隔離/光耦合MOC3083集光電隔離、過零檢測、過零觸發功能于一身,是一種理想的雙向可控硅驅動器。因此,本系統采用MOC3083作為驅動器件組成可控硅驅動電路,該電路具有結構簡單、觸發可靠、功耗小、無噪聲、易控制等優點。過壓、欠壓、過流、短路保護電路由繼電器控制輸出供電接觸器,作為輸出或切斷供電使用。報警及故障顯示分別由蜂鳴器與發光二極管實現。4軟件設計回時三相分別采樣或者瞬間大電流沖擊的影響,軟件設計了延時程序,當市電電網波動較大時,應對輸入電壓進行檢測,如果未能達到穩定進行報警處理,而且同組中兩個晶閘管不能同時導通。硬件設計上,設計了看門狗電路,保證系統的穩定性。5結論由于采用微機軟硬件結合控制,晶閘管模塊無觸點切換、智能化設計技術、補償技術等運用,將**研制成果得以運用軟件升級,使得在更寬穩壓范圍的設計中,其穩壓精度設計得更高,同時又節能和延長電源的使用壽命等優點,是**電源技術在穩壓電源一次重大的突破,成為各行各業廣泛使用的新一代節能型的大功率電力穩壓電源。經使用證明,該穩壓器的相關技術指標已達到:采用分相調節,具有三相輸出自動平衡能力。保護功能。具有對主回路故障判斷報警功能,以及過壓、欠壓快速保護功能且能自動延時恢復。
滬公網安備31011402001599號
由D-coding云平臺驅動
后臺登錄入口
使用條款